MENU

第4章手順の全体構造

作業の段取りや、道具の使い方を説明する方法として、標準作業ループ型と対処マニュアル型との2通りある。

大まかには、ものづくりなど長い手順からなる工程管理が主体の仕事では標準作業ループ型を使い、接客やコンピューター作業などの情報処理が主体の仕事では対処マニュアル型が適する傾向がある。

目次

標準作業ループ

標準作業ループ方式は、ループ状に循環する手順の流れに沿って、段取りを説明するものである。正しい作業とはループを描くものである。

まだ何もない状態から始まり、道具を取り出し、素材を運び入れ、手を動かして加工を進め、完成品を出荷し、道具やゴミを片付けて、最初と同じ全てが片付いた状態に戻る(資料15)。

マニュアルは、必ず作業開始前の状態に復帰するところまでを指示すべきだ。途中で事故が起きたとしても、安全に中断して作業開始前に戻れるように誘導する。

作業を途中まででやりっぱなしにして、片付けないことを黙認するようなマニュアルではいけない。多くのマニュアルでは、ループの最後を締めくくる片付けと原状復帰の段取りを省略している。

料理のレシピ本は、鍋や皿の洗い方までは指示していないのが普通だ。言わずもがなであり、書くまでもないからであるが、しかし安易にこれを真似してはいけない。

初期状態への復帰は、責任重大な作業である。

使った道具を置き忘れてしまうことは、誰でもついやりがちなミスであるが、大きな事故につながりがちである。

手術した患者の体内にガーゼを置き忘れる。鉄道の保線工事で、道具を使ったまま線路上に置き忘れ、それを知らない始発電車が踏み越えて脱線する。この種の事故はお馴染みのパターンである。

仕事の締めくくりには、道具を全て一堂に集めて整列させ、紛失がないかカウントせねばならない。個々人の我流で片付けすることは許されない。

作業開始前の初期状態は、地味な存在ながら手順設計の要点である。初期状態は、安全であり他の作業に干渉しないことが求められる。

電源を切るなどエネルギーを断ち切り、怪我や火災が起こる可能性をなくす。道具をしまい、場所を空けることで、他の仕事の邪魔をしないようにする。また、待機の状態でもあるので、たとえ長時間その状態に留まっても、疲れず、コストもかからないようにしたい。

立ったまま待機する初期状態では、長くは待てない。工程はループ状なら何でもよいわけではない。

効率がよく、間違えにくく、いざという時は安全に作業を停止できるような手順を組み、それを標準の作業ループとする。

効率も安全もともにベストの手順、「ゴールデン・バッチ」を設計することが理想である。

◆原状復帰を忘れずに。

ループは一本道にする

標準作業ループは、一本道であるものが最良である。資料16のように、途中で分岐して別の通り道があるものは、作業の忘れや停滞を引き起こすリスクがある。これはチェックや点検のあり方に関わる話であるので、後ほど詳しく述べる。

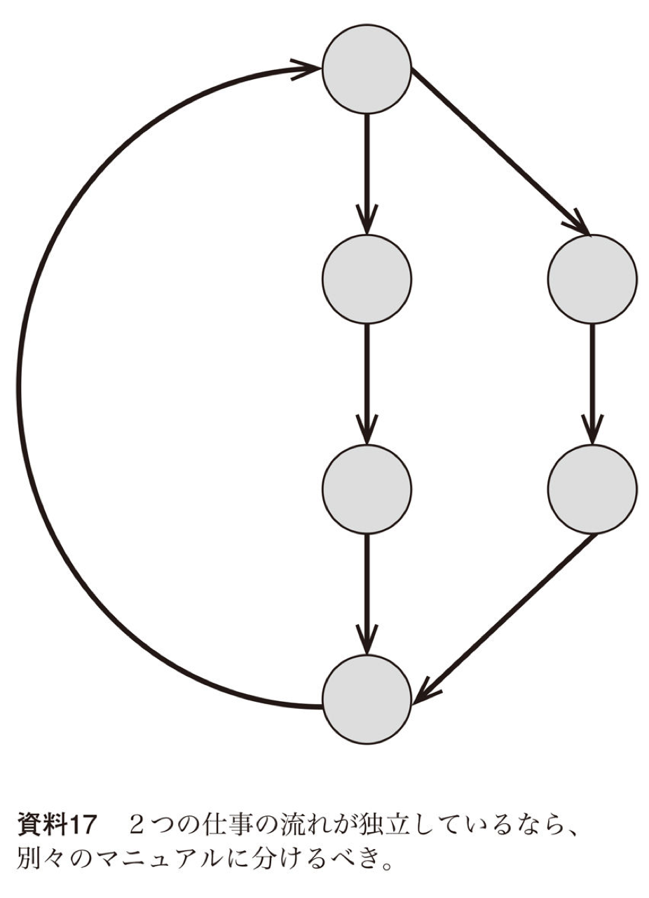
資料17のように、スタートからゴールまで、完全にルートが分離しているならば、別のマニュアルに分けて書くべきである。

そもそも論で言えばマニュアル作りの段階より前に、「一石二鳥」のつもりで一つの機械に複数の使い方や機能を備えさせる設計は間違いであるという、設計学の考えがある。

十徳ナイフのような発想は嫌われているのである(中には、一石二鳥は素晴らしいという設計学者もいるが)。

人間は、複数の機能を備えた道具を理解することが苦手である。パソコンは多機能であるが、どう使えばいいのかマスターするまで勉強せねばならない。

十徳ナイフに、やすりや、コルク抜きが備わっていたとしても、人間はそれを思い出して使うだろうか。十徳ナイフを思い出す前に、やすりやコルク抜きを持ってくるだろう。

単機能より専用の道具の方が記憶に残るのである。

事故の原因を探っていくと、一石二鳥に突き当たることがよくある。多機能の道具の中のある機能を使っている間は、別の機能を使えない。十徳ナイフを缶切りとして使っている間は、ナイフとしては使えない。

「道具の取り合い問題」が起こるのである。

また、多機能の道具が失われると、機能を全部失ってしまう。十徳ナイフを紛失すると、缶切りだけが無くなるのではなく、ナイフも無くなってしまう。

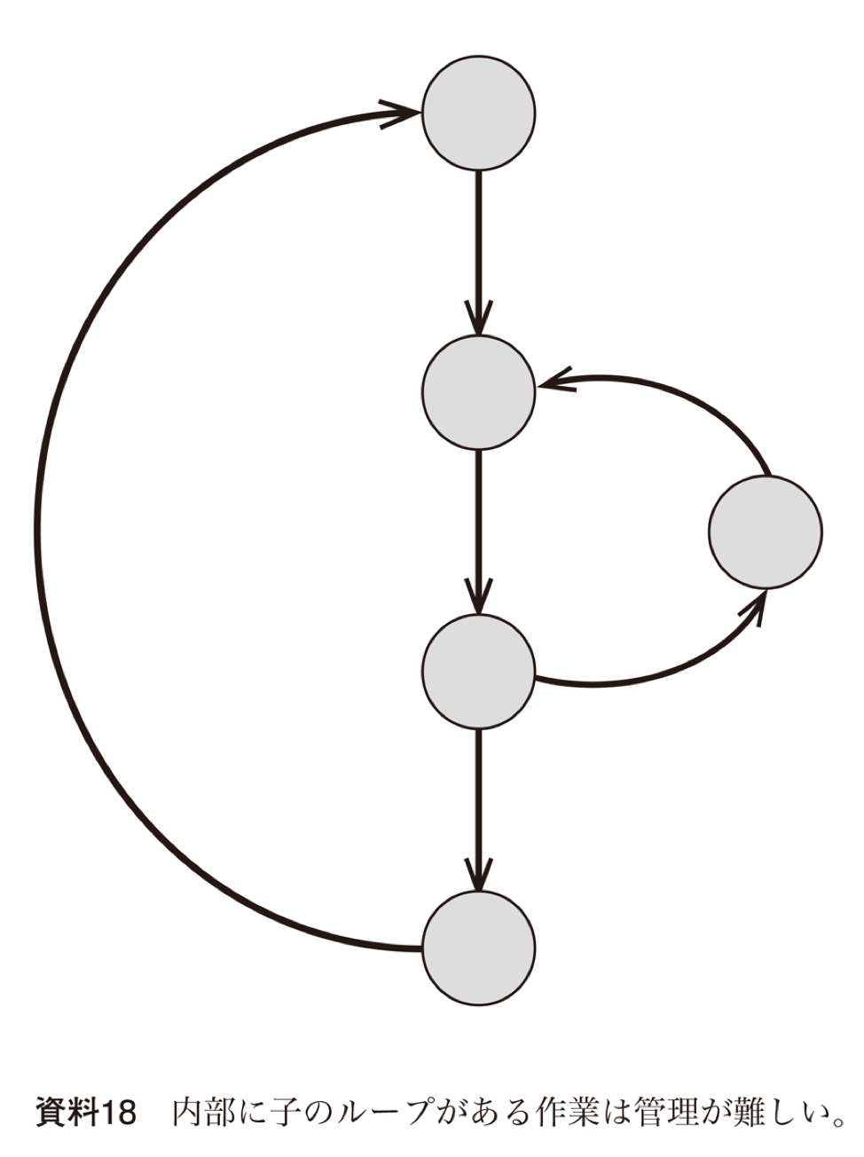
作業の効率や安全のためには、機能はむしろ分散している方が望ましい。資料18のように、内部にさかのぼるルートがあると、作業の管理は非常に難しくなる。逆流は是が非でも避けたいものである。

逆流ルートがなければ、資料17は3歩手順を進めばスタートからゴールに確実に到着できると言えた。

すごろく図で、どのマス目に仕事があるかが分かれば、作業の進捗度合いが判定できたのである。

場所と進捗度合いが呼応することは、作業の管理を簡単にしてくれる。

東京から大阪に移動するという仕事では、今、名古屋にいれば仕事は半分ぐらい済んでいるし、京都にいれば9割はできていると言える。

内部逆流が含まれるループでは、あと何歩で終了するか確定できなくなる。

京都から名古屋に戻ることもありうるというルールにされてしまうと、京都にいるからといって、あと少しで大阪に到着するとは言えない。

仕事が終わりかけなのか、まだ先が長いのか分からなくなる。

いつまで経っても仕事が完成せず、逆流ループで手間取っているのか、あるいは単にど忘れで放置されているのか見分けがつきにくい。

このような理由で、一本道以外の標準作業ループは大いに問題がある。

本書の冒頭で、コンピューターシステムの取扱説明書と銘打ってあるが、画面をキャプチャして貼っただけのマニュアルについて、雑な作りであると批判した。安直に画面をキャプチャをするだけでは、一本道化までは配慮していない。作業手順に分岐や、合流、逆流があってもお構いなしである。

その結果、画面の絵はあれど、使い方が今一つよく分からないと読者は感じる。

◆最良の手順は一本道。

対処マニュアル型

ある種の仕事は、特定の望ましい平常状態を保つことを目的とする。自分では自発的には状態変化をさせず、外部からの動きに対応して、変動を打ち消そうとする。

機械の故障、原材料の劣化、悪天候、時刻の変化、他人からの申し出などの「外乱」によって、事態は非平常状態に遷移する。

非平常状態の内容に応じて復旧操作を施し、平常状態に戻れば作業は完了である。平和を守る警備員や、病気を治す医師などは、基本的にはこうした状態の維持が仕事である。

対処マニュアルには、明確な編集方針が必要である。さまざまな非平常状態に対して対応せねばならないので、復旧操作の種類も多くなる。

あまたある復旧操作を工夫もなく取り上げて記述していくと、マニュアルは雑多な事項の集合体となり読みにくくなる。

逆転の発想で、「正常とは何か」についてだけ語るという方針がよい。

正常が定義できれば、復旧の本質が見えてきて、あまたある復旧操作をシンプルに整理することができる。

軍隊は、戦場で大敗すると、敗残兵は散り散りバラバラになってしまう。そのような非平常状態を「平常」に戻すとはどういうことであろうか。原状復帰を命じたいところであるが、負ける前の状態にはもはや戻れない。

発想を変えて、平常とは、兵士が部隊に編制されている状態であると捉え直し、その状態を目指すのなら可能である。

つまり、兵士が逃げてきそうな、街道筋の町や、大きな橋のたもとに、兵士集合所を設置する。三々五々やってくる敗残兵を集合所に招き入れる。徐々に人数も増えていき、武器も溜まってくるので、即席の部隊となる。

航空の世界には「Flytheairplane!」(自機を飛ばし続けよ)という標語がある。

たとえば、エンジンが炎上するなどのトラブルが発生すると、コックピットの中は警告音が鳴り響き、焦った操縦士は何から手を付ければいいのか分からなくなってしまう。

あるいはエンジンの調節ツマミをいじることに熱中しすぎて、肝心の飛行機の操縦がお留守になってしまうこともある。そしていつの間にか高度がゼロになり、つまり墜落する。

「とにかく自機を飛ばせ!高度があるうちは墜落ではない!」と一喝して、正気を取り戻すのである。

外乱によるある程度の被害は甘受し、完全な原状復帰はあきらめるが、致命的な崩壊は許さないという考えである。

このような、中枢部の存続を第一に置く防災思想を「レジリエンス」と呼ぶ。対処という仕事は、暇の連続である。有事の時は忙しいが、普段は見回りぐらいしかすることはない。

飽きたからといって自分から変化を起こしてもいけない。ただただ待つのである。

これはあまりに退屈であり、人間は心理的に耐えられないので、まじめにやる気が失せ、手抜きしてしまう恐れがある。

対処の退屈さを打ち消すには、ある種の宗教性を付け加えることが必要になる。毎日や、毎週、毎年、一定の時間間隔で繰り返す行動の多くは、宗教的なものが多い。

墓の見回りを彼岸や盆にする人が多いが、それは定期点検作業というよりは、墓参りという行事であり、宗教的義務感からの行動である。

古代中国の礼儀作法について書かれた『礼記』には、国王は定期的に地方視察の旅に出て、市場を見て物価を調べ、流行歌を聴いて社会情勢を知り、長寿者には必ず面会に行くべしとある。

現場巡回を祭礼儀式と位置づけて、義務感を負わせている。

現代でも、企業などのトップが現場に出て実情を知ることは経営の基本と言われる。

◆守り本尊は何かを明らかにする。

よかったらシェアしてね!
  • URLをコピーしました!
  • URLをコピーしました!

この記事を書いた人

コメント

コメントする

CAPTCHA


目次